可可文库 - 千万精品文档,你想要的都能搜到,下载即用。

附件:河源市东源县历史遗留废弃矿山调查结果统计表.doc

aholic. (沉迷者)7 页 332.5 KB下载文档
附件:河源市东源县历史遗留废弃矿山调查结果统计表.doc附件:河源市东源县历史遗留废弃矿山调查结果统计表.doc附件:河源市东源县历史遗留废弃矿山调查结果统计表.doc附件:河源市东源县历史遗留废弃矿山调查结果统计表.doc附件:河源市东源县历史遗留废弃矿山调查结果统计表.doc附件:河源市东源县历史遗留废弃矿山调查结果统计表.doc
当前文档共7页 2.99
下载后继续阅读

附件:河源市东源县历史遗留废弃矿山调查结果统计表.doc

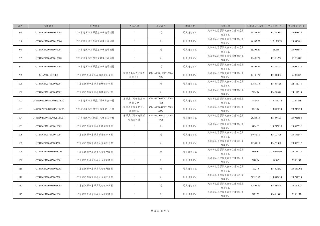
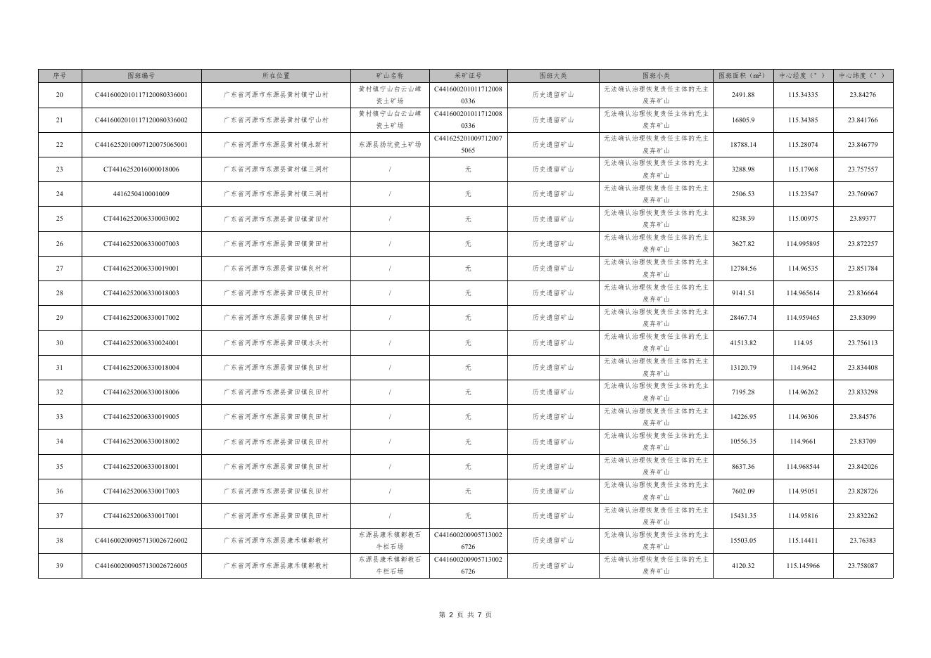
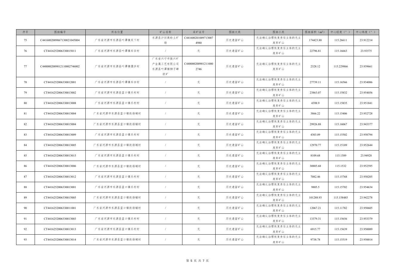
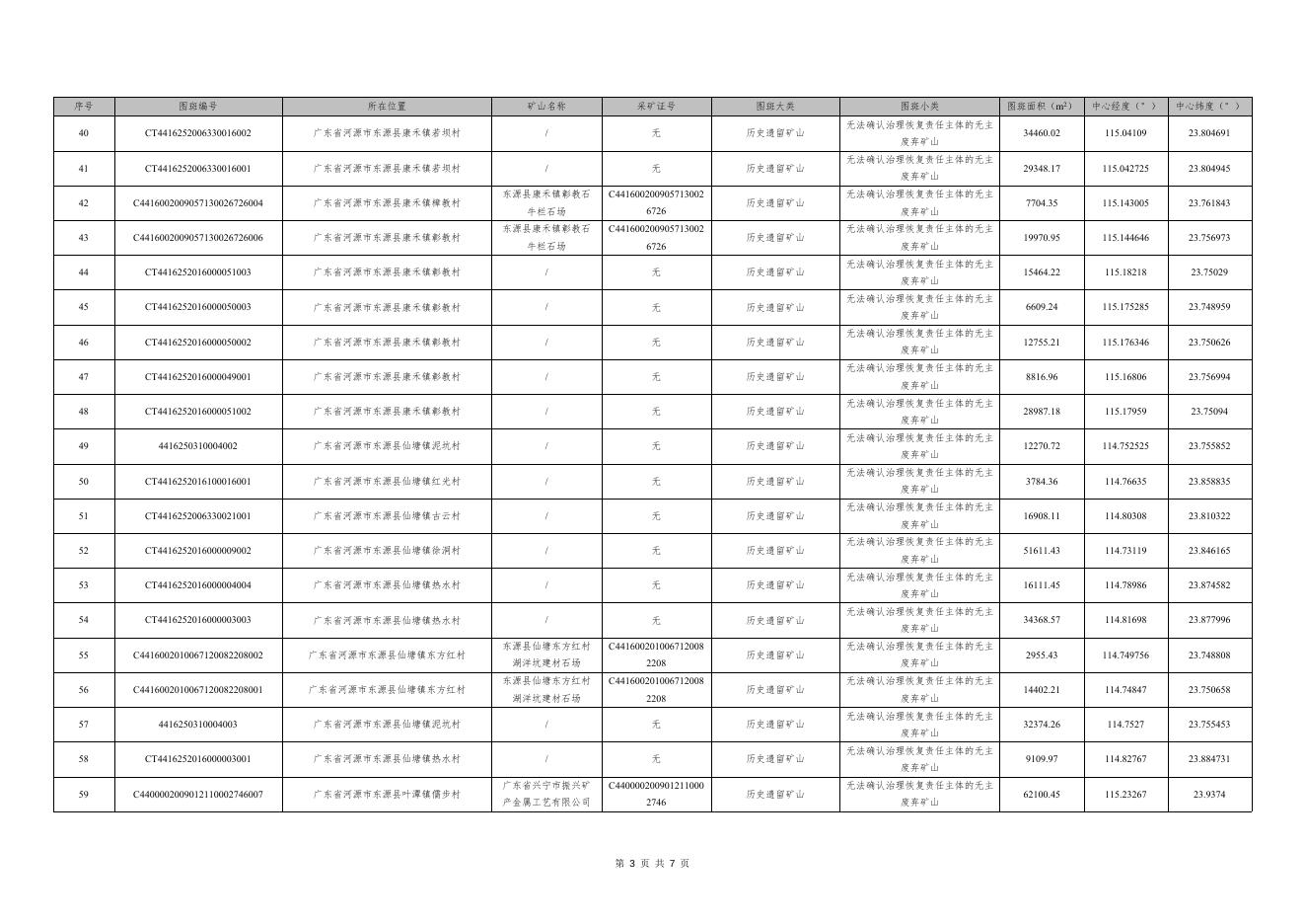
河源市东源县历史遗留废弃矿山公示表 序号 图斑编号 所在位置 矿山名称 采矿证号 1 C4416002011087130117001001 广东省河源市东源县曾田镇蒲田村 2 C4416002011087130117001002 广东省河源市东源县曾田镇蒲田村 3 C4416002011087130117001003 广东省河源市东源县曾田镇蒲田村 4 4416250410001008 5 汇通矿业有限公司 C441600201108713011 曾田高岭土矿 7001 汇通矿业有限公司 C441600201108713011 曾田高岭土矿 7001 汇通矿业有限公司 C441600201108713011 曾田高岭土矿 7001 广东省河源市东源县黄村镇三洞村 / 无 历史遗留矿山 4416250410001004 广东省河源市东源县黄村镇三洞村 / 无 历史遗留矿山 6 C4416002010117120080336003 广东省河源市东源县黄村镇宁山村 黄村镇宁山白云山嶂 C441600201011712008 瓷土矿场 0336 7 4416250810012001 广东省河源市东源县黄村镇永新村 / 无 历史遗留矿山 8 CT4416252016000026001 广东省河源市东源县黄村镇三洞村 / 无 历史遗留矿山 9 CT4416252016000028003 广东省河源市东源县黄村镇正昌村 / 无 历史遗留矿山 10 CT4416252016000030004 广东省河源市东源县黄村镇欧屋村 / 无 历史遗留矿山 11 4416250410001005 广东省河源市东源县黄村镇三洞村 / 无 历史遗留矿山 12 CT4416252016000018004 广东省河源市东源县黄村镇三洞村 / 无 历史遗留矿山 13 CT4416252016000018005 广东省河源市东源县黄村镇三洞村 / 无 历史遗留矿山 14 4416250810012004 广东省河源市东源县黄村镇双坪村 / 无 历史遗留矿山 15 C4416252010097120075065002 广东省河源市东源县黄村镇铁岗村 东源县扬坑瓷土矿场 16 CT4416252016000030003 广东省河源市东源县黄村镇欧屋村 / 无 历史遗留矿山 17 CT4416252016000055002 广东省河源市东源县黄村镇黄村坳村 / 无 历史遗留矿山 18 4416250810012005 广东省河源市东源县黄村镇双坪村 / 无 历史遗留矿山 19 4416250410001007 广东省河源市东源县黄村镇三洞村 / 无 历史遗留矿山 C441625201009712007 5065 第 1 页 共 7 页 图斑大类 历史遗留矿山 历史遗留矿山 历史遗留矿山 历史遗留矿山 历史遗留矿山 图斑小类 无法确认治理恢复责任主体的无主 废弃矿山 无法确认治理恢复责任主体的无主 废弃矿山 无法确认治理恢复责任主体的无主 废弃矿山 无法确认治理恢复责任主体的无主 废弃矿山 无法确认治理恢复责任主体的无主 废弃矿山 无法确认治理恢复责任主体的无主 废弃矿山 无法确认治理恢复责任主体的无主 废弃矿山 无法确认治理恢复责任主体的无主 废弃矿山 无法确认治理恢复责任主体的无主 废弃矿山 无法确认治理恢复责任主体的无主 废弃矿山 无法确认治理恢复责任主体的无主 废弃矿山 无法确认治理恢复责任主体的无主 废弃矿山 无法确认治理恢复责任主体的无主 废弃矿山 无法确认治理恢复责任主体的无主 废弃矿山 无法确认治理恢复责任主体的无主 废弃矿山 无法确认治理恢复责任主体的无主 废弃矿山 无法确认治理恢复责任主体的无主 废弃矿山 无法确认治理恢复责任主体的无主 废弃矿山 无法确认治理恢复责任主体的无主 废弃矿山 图斑面积(m2) 中心经度(°) 中心纬度(°) 25797.97 114.956696 23.950838 1751.77 114.9531 23.950605 13784.58 114.95468 23.950186 22821.72 115.23742 23.761335 44273.28 115.232956 23.76249 3867.87 115.34647 23.840906 16705.82 115.306946 23.888737 5015.16 115.21404 23.792242 12034.05 115.18156 23.80034 24257.8 115.22258 23.848124 48480.38 115.243576 23.762484 4177.72 115.18607 23.758125 6623.14 115.18512 23.758024 2133.93 115.29373 23.887049 31057.14 115.28248 23.84613 50176.59 115.22023 23.848795 6476.69 115.228004 23.84664 68304.08 115.29418 23.88673 16772.56 115.21545 23.761341 序号 图斑编号 所在位置 矿山名称 采矿证号 黄村镇宁山白云山嶂 C441600201011712008 瓷土矿场 0336 黄村镇宁山白云山嶂 C441600201011712008 瓷土矿场 0336 20 C4416002010117120080336001 广东省河源市东源县黄村镇宁山村 21 C4416002010117120080336002 广东省河源市东源县黄村镇宁山村 22 C4416252010097120075065001 广东省河源市东源县黄村镇永新村 东源县扬坑瓷土矿场 23 CT4416252016000018006 广东省河源市东源县黄村镇三洞村 / 无 历史遗留矿山 24 4416250410001009 广东省河源市东源县黄村镇三洞村 / 无 历史遗留矿山 25 CT4416252006330003002 广东省河源市东源县黄田镇黄田村 / 无 历史遗留矿山 26 CT4416252006330007003 广东省河源市东源县黄田镇黄田村 / 无 历史遗留矿山 27 CT4416252006330019001 广东省河源市东源县黄田镇良村村 / 无 历史遗留矿山 28 CT4416252006330018003 广东省河源市东源县黄田镇良田村 / 无 历史遗留矿山 29 CT4416252006330017002 广东省河源市东源县黄田镇良田村 / 无 历史遗留矿山 30 CT4416252006330024001 广东省河源市东源县黄田镇水头村 / 无 历史遗留矿山 31 CT4416252006330018004 广东省河源市东源县黄田镇良田村 / 无 历史遗留矿山 32 CT4416252006330018006 广东省河源市东源县黄田镇良田村 / 无 历史遗留矿山 33 CT4416252006330019005 广东省河源市东源县黄田镇良田村 / 无 历史遗留矿山 34 CT4416252006330018002 广东省河源市东源县黄田镇良田村 / 无 历史遗留矿山 35 CT4416252006330018001 广东省河源市东源县黄田镇良田村 / 无 历史遗留矿山 36 CT4416252006330017003 广东省河源市东源县黄田镇良田村 / 无 历史遗留矿山 37 CT4416252006330017001 广东省河源市东源县黄田镇良田村 / 无 历史遗留矿山 38 C4416002009057130026726002 广东省河源市东源县康禾镇彰教村 东源县康禾镇彰教石 C441600200905713002 牛栏石场 6726 39 C4416002009057130026726005 广东省河源市东源县康禾镇彰教村 东源县康禾镇彰教石 C441600200905713002 牛栏石场 6726 C441625201009712007 5065 第 2 页 共 7 页 图斑大类 历史遗留矿山 历史遗留矿山 历史遗留矿山 历史遗留矿山 历史遗留矿山 图斑小类 无法确认治理恢复责任主体的无主 废弃矿山 无法确认治理恢复责任主体的无主 废弃矿山 无法确认治理恢复责任主体的无主 废弃矿山 无法确认治理恢复责任主体的无主 废弃矿山 无法确认治理恢复责任主体的无主 废弃矿山 无法确认治理恢复责任主体的无主 废弃矿山 无法确认治理恢复责任主体的无主 废弃矿山 无法确认治理恢复责任主体的无主 废弃矿山 无法确认治理恢复责任主体的无主 废弃矿山 无法确认治理恢复责任主体的无主 废弃矿山 无法确认治理恢复责任主体的无主 废弃矿山 无法确认治理恢复责任主体的无主 废弃矿山 无法确认治理恢复责任主体的无主 废弃矿山 无法确认治理恢复责任主体的无主 废弃矿山 无法确认治理恢复责任主体的无主 废弃矿山 无法确认治理恢复责任主体的无主 废弃矿山 无法确认治理恢复责任主体的无主 废弃矿山 无法确认治理恢复责任主体的无主 废弃矿山 无法确认治理恢复责任主体的无主 废弃矿山 无法确认治理恢复责任主体的无主 废弃矿山 图斑面积(m2) 中心经度(°) 中心纬度(°) 2491.88 115.34335 23.84276 16805.9 115.34385 23.841766 18788.14 115.28074 23.846779 3288.98 115.17968 23.757557 2506.53 115.23547 23.760967 8238.39 115.00975 23.89377 3627.82 114.995895 23.872257 12784.56 114.96535 23.851784 9141.51 114.965614 23.836664 28467.74 114.959465 23.83099 41513.82 114.95 23.756113 13120.79 114.9642 23.834408 7195.28 114.96262 23.833298 14226.95 114.96306 23.84576 10556.35 114.9661 23.83709 8637.36 114.968544 23.842026 7602.09 114.95051 23.828726 15431.35 114.95816 23.832262 15503.05 115.14411 23.76383 4120.32 115.145966 23.758087 序号 图斑编号 所在位置 矿山名称 采矿证号 图斑大类 40 CT4416252006330016002 广东省河源市东源县康禾镇若坝村 / 无 历史遗留矿山 41 CT4416252006330016001 广东省河源市东源县康禾镇若坝村 / 无 历史遗留矿山 42 C4416002009057130026726004 广东省河源市东源县康禾镇樟教村 东源县康禾镇彰教石 C441600200905713002 牛栏石场 6726 43 C4416002009057130026726006 广东省河源市东源县康禾镇彰教村 东源县康禾镇彰教石 C441600200905713002 牛栏石场 6726 44 CT4416252016000051003 广东省河源市东源县康禾镇彰教村 / 无 历史遗留矿山 45 CT4416252016000050003 广东省河源市东源县康禾镇彰教村 / 无 历史遗留矿山 46 CT4416252016000050002 广东省河源市东源县康禾镇彰教村 / 无 历史遗留矿山 47 CT4416252016000049001 广东省河源市东源县康禾镇彰教村 / 无 历史遗留矿山 48 CT4416252016000051002 广东省河源市东源县康禾镇彰教村 / 无 历史遗留矿山 49 4416250310004002 广东省河源市东源县仙塘镇泥坑村 / 无 历史遗留矿山 50 CT4416252016100016001 广东省河源市东源县仙塘镇红光村 / 无 历史遗留矿山 51 CT4416252006330021001 广东省河源市东源县仙塘镇古云村 / 无 历史遗留矿山 52 CT4416252016000009002 广东省河源市东源县仙塘镇徐洞村 / 无 历史遗留矿山 53 CT4416252016000004004 广东省河源市东源县仙塘镇热水村 / 无 历史遗留矿山 54 CT4416252016000003003 广东省河源市东源县仙塘镇热水村 / 无 历史遗留矿山 55 C4416002010067120082208002 广东省河源市东源县仙塘镇东方红村 东源县仙塘东方红村 C441600201006712008 湖洋坑建材石场 2208 56 C4416002010067120082208001 广东省河源市东源县仙塘镇东方红村 东源县仙塘东方红村 C441600201006712008 湖洋坑建材石场 2208 57 4416250310004003 广东省河源市东源县仙塘镇泥坑村 / 无 历史遗留矿山 58 CT4416252016000003001 广东省河源市东源县仙塘镇热水村 / 无 历史遗留矿山 59 C4400002009012110002746007 广东省河源市东源县叶潭镇儒步村 广东省兴宁市振兴矿 C440000200901211000 产金属工艺有限公司 2746 第 3 页 共 7 页 历史遗留矿山 历史遗留矿山 历史遗留矿山 历史遗留矿山 历史遗留矿山 图斑小类 无法确认治理恢复责任主体的无主 废弃矿山 无法确认治理恢复责任主体的无主 废弃矿山 无法确认治理恢复责任主体的无主 废弃矿山 无法确认治理恢复责任主体的无主 废弃矿山 无法确认治理恢复责任主体的无主 废弃矿山 无法确认治理恢复责任主体的无主 废弃矿山 无法确认治理恢复责任主体的无主 废弃矿山 无法确认治理恢复责任主体的无主 废弃矿山 无法确认治理恢复责任主体的无主 废弃矿山 无法确认治理恢复责任主体的无主 废弃矿山 无法确认治理恢复责任主体的无主 废弃矿山 无法确认治理恢复责任主体的无主 废弃矿山 无法确认治理恢复责任主体的无主 废弃矿山 无法确认治理恢复责任主体的无主 废弃矿山 无法确认治理恢复责任主体的无主 废弃矿山 无法确认治理恢复责任主体的无主 废弃矿山 无法确认治理恢复责任主体的无主 废弃矿山 无法确认治理恢复责任主体的无主 废弃矿山 无法确认治理恢复责任主体的无主 废弃矿山 无法确认治理恢复责任主体的无主 废弃矿山 图斑面积(m2) 中心经度(°) 中心纬度(°) 34460.02 115.04109 23.804691 29348.17 115.042725 23.804945 7704.35 115.143005 23.761843 19970.95 115.144646 23.756973 15464.22 115.18218 23.75029 6609.24 115.175285 23.748959 12755.21 115.176346 23.750626 8816.96 115.16806 23.756994 28987.18 115.17959 23.75094 12270.72 114.752525 23.755852 3784.36 114.76635 23.858835 16908.11 114.80308 23.810322 51611.43 114.73119 23.846165 16111.45 114.78986 23.874582 34368.57 114.81698 23.877996 2955.43 114.749756 23.748808 14402.21 114.74847 23.750658 32374.26 114.7527 23.755453 9109.97 114.82767 23.884731 62100.45 115.23267 23.9374 序号 图斑编号 所在位置 矿山名称 采矿证号 图斑大类 图斑小类 图斑面积(m2) 中心经度(°) 中心纬度(°) 12607.8 115.15119 23.92188 4982.86 115.15452 23.932869 11995.47 115.153465 23.93142 127543.82 115.16286 23.93695 101123.59 115.28644 23.886074 4961.7 115.26288 23.915672 2815.4 115.23484 23.938776 13103.03 115.263664 23.914997 22900.78 115.16356 23.945038 1929.42 115.26357 23.916075 12103.55 115.28701 23.883257 20335.34 115.22594 23.938831 10944.05 115.20048 23.87076 6444.8 115.22915 23.938614 44086.86 115.23046 23.937778 东源县叶潭镇狮子嶂 铁矿 60 CT4416252006330012005 广东省河源市东源县叶潭镇半埔村 / 无 历史遗留矿山 61 CT4416252006330012002 广东省河源市东源县叶潭镇车田村 / 无 历史遗留矿山 62 CT4416252006330012004 广东省河源市东源县叶潭镇半埔村 / 无 历史遗留矿山 63 CT4416252006330015009 广东省河源市东源县叶潭镇车田村 / 无 历史遗留矿山 64 4416250810012006 广东省河源市东源县叶潭镇双坪村 东源县沙凹高岭土矿 C441600201009713007 场 4980 65 C4416002009067130021045002 广东省河源市东源县叶潭镇儒斜村 东源县中鹏陶瓷原料 C441600200906713002 开发有限公司 1045 历史遗留矿山 历史遗留矿山 无法确认治理恢复责任主体的无主 废弃矿山 无法确认治理恢复责任主体的无主 废弃矿山 无法确认治理恢复责任主体的无主 废弃矿山 无法确认治理恢复责任主体的无主 废弃矿山 无法确认治理恢复责任主体的无主 废弃矿山 无法确认治理恢复责任主体的无主 废弃矿山 广东省兴宁市振兴矿 66 C4400002009012110002746004 广东省河源市东源县叶潭镇儒步村 产金属工艺有限公司 C440000200901211000 东源县叶潭镇狮子嶂 2746 历史遗留矿山 无法确认治理恢复责任主体的无主 废弃矿山 铁矿 67 C4416002009067130021045003 广东省河源市东源县叶潭镇双下村 68 CT4416252006330015003 广东省河源市东源县叶潭镇车田村 69 C4416002009067130021045001 广东省河源市东源县叶潭镇儒斜村 70 4416250810012008 广东省河源市东源县叶潭镇双坪村 东源县中鹏陶瓷原料 C441600200906713002 开发有限公司 1045 / 无 东源县中鹏陶瓷原料 C441600200906713002 开发有限公司 1045 / 无 历史遗留矿山 历史遗留矿山 历史遗留矿山 历史遗留矿山 无法确认治理恢复责任主体的无主 废弃矿山 无法确认治理恢复责任主体的无主 废弃矿山 无法确认治理恢复责任主体的无主 废弃矿山 无法确认治理恢复责任主体的无主 废弃矿山 广东省兴宁市振兴矿 71 C4400002009012110002746003 广东省河源市东源县叶潭镇儒步村 产金属工艺有限公司 C440000200901211000 东源县叶潭镇狮子嶂 2746 历史遗留矿山 无法确认治理恢复责任主体的无主 废弃矿山 铁矿 72 CT4416252016000033001 广东省河源市东源县叶潭镇孙田坑林场 / 无 历史遗留矿山 无法确认治理恢复责任主体的无主 废弃矿山 广东省兴宁市振兴矿 73 C4400002009012110002746005 广东省河源市东源县叶潭镇儒步村 产金属工艺有限公司 C440000200901211000 东源县叶潭镇狮子嶂 2746 历史遗留矿山 无法确认治理恢复责任主体的无主 废弃矿山 铁矿 广东省兴宁市振兴矿 74 C4400002009012110002746006 广东省河源市东源县叶潭镇儒步村 产金属工艺有限公司 C440000200901211000 东源县叶潭镇狮子嶂 2746 铁矿 第 4 页 共 7 页 历史遗留矿山 无法确认治理恢复责任主体的无主 废弃矿山 序号 图斑编号 所在位置 75 C4416002009067130021045004 广东省河源市东源县叶潭镇双下村 76 CT4416252006330015011 广东省河源市东源县叶潭镇车田村 矿山名称 采矿证号 东源县沙凹高岭土矿 C441600201009713007 场 4980 / 无 图斑大类 历史遗留矿山 历史遗留矿山 图斑小类 无法确认治理恢复责任主体的无主 废弃矿山 无法确认治理恢复责任主体的无主 废弃矿山 图斑面积(m2) 中心经度(°) 中心纬度(°) 174423.88 115.26611 23.912214 22796.81 115.16663 23.93575 2328.12 115.229866 23.939661 27739.11 115.16566 23.934086 23863.07 115.15832 23.954056 4398.9 115.15835 23.951841 3866.22 115.15406 23.952728 29926.88 115.16067 23.943377 4303.09 115.15502 23.950794 12970.77 115.15189 23.952644 8109.68 115.1589 23.94928 30885.68 115.1532 23.952595 7082.46 115.15768 23.950205 9805.5 115.15702 23.954634 101288.93 115.158485 23.942278 12067.21 115.11782 23.950605 13379.31 115.15656 23.953379 6915.77 115.15639 23.950089 9738.78 115.15519 23.950014 广东省兴宁市振兴矿 77 C4400002009012110002746002 广东省河源市东源县叶潭镇儒步村 产金属工艺有限公司 C440000200901211000 东源县叶潭镇狮子嶂 2746 历史遗留矿山 无法确认治理恢复责任主体的无主 废弃矿山 铁矿 78 CT4416252006330012001 广东省河源市东源县叶潭镇车田村 / 无 历史遗留矿山 79 CT4416252006330013002 广东省河源市东源县蓝口镇乐村村 / 无 历史遗留矿山 80 CT4416252006330013008 广东省河源市东源县蓝口镇乐村村 / 无 历史遗留矿山 81 CT4416252006330013004 广东省河源市东源县蓝口镇铁场埔村 / 无 历史遗留矿山 82 CT4416252006330015004 广东省河源市东源县蓝口镇铁场铺村 / 无 历史遗留矿山 83 CT4416252006330013009 广东省河源市东源县蓝口镇乐村村 / 无 历史遗留矿山 84 CT4416252006330013005 广东省河源市东源县蓝口镇铁场埔村 / 无 历史遗留矿山 85 CT4416252006330013015 广东省河源市东源县蓝口镇乐村村 / 无 历史遗留矿山 86 CT4416252006330013006 广东省河源市东源县蓝口镇铁场埔村 / 无 历史遗留矿山 87 CT4416252006330013012 广东省河源市东源县蓝口镇乐村村 / 无 历史遗留矿山 88 CT4416252006330013001 广东省河源市东源县蓝口镇乐村村 / 无 历史遗留矿山 89 CT4416252006330015005 广东省河源市东源县蓝口镇铁场铺村 / 无 历史遗留矿山 90 CT4416252006330011001 广东省河源市东源县蓝口镇铁场铺村 / 无 历史遗留矿山 91 CT4416252006330013003 广东省河源市东源县蓝口镇乐村村 / 无 历史遗留矿山 92 CT4416252006330013013 广东省河源市东源县蓝口镇乐村村 / 无 历史遗留矿山 93 CT4416252006330013014 广东省河源市东源县蓝口镇铁场埔村 / 无 历史遗留矿山 第 5 页 共 7 页 无法确认治理恢复责任主体的无主 废弃矿山 无法确认治理恢复责任主体的无主 废弃矿山 无法确认治理恢复责任主体的无主 废弃矿山 无法确认治理恢复责任主体的无主 废弃矿山 无法确认治理恢复责任主体的无主 废弃矿山 无法确认治理恢复责任主体的无主 废弃矿山 无法确认治理恢复责任主体的无主 废弃矿山 无法确认治理恢复责任主体的无主 废弃矿山 无法确认治理恢复责任主体的无主 废弃矿山 无法确认治理恢复责任主体的无主 废弃矿山 无法确认治理恢复责任主体的无主 废弃矿山 无法确认治理恢复责任主体的无主 废弃矿山 无法确认治理恢复责任主体的无主 废弃矿山 无法确认治理恢复责任主体的无主 废弃矿山 无法确认治理恢复责任主体的无主 废弃矿山 无法确认治理恢复责任主体的无主 废弃矿山 序号 图斑编号 所在位置 矿山名称 采矿证号 图斑大类 94 CT4416252006330014002 广东省河源市东源县蓝口镇铁场铺村 / 无 历史遗留矿山 95 CT4416252006330015006 广东省河源市东源县蓝口镇铁场铺村 / 无 历史遗留矿山 96 CT4416252006330034001 广东省河源市东源县蓝口镇铁场埔村 / 无 历史遗留矿山 97 CT4416252006330015008 广东省河源市东源县蓝口镇铁场铺村 / 无 历史遗留矿山 98 CT4416252006330014001 广东省河源市东源县蓝口镇铁场铺村 / 无 历史遗留矿山 99 4416250810013001 广东省河源市东源县柳城镇围星村 东源县磊垚矿业发展 C441600201006713006 有限公司 7174 100 CT4416252016100002001 广东省河源市东源县船塘镇许村村 / 无 历史遗留矿山 101 CT4416252016100002002 广东省河源市东源县船塘镇许村村 / 无 历史遗留矿山 102 C4416002009087120034536003 广东省河源市东源县灯塔镇黄土岭村 东源县灯塔镇黄土岭 C441600200908712003 新村石场 4536 103 C4416002009087120034536002 广东省河源市东源县灯塔镇黄土岭村 东源县灯塔镇黄土岭 C441600200908712003 新村石场 4536 104 C4416002009057120026725001 广东省河源市东源县灯塔镇黄土岭村 东源县灯塔镇高坑新 C441600200905712002 村瓷土矿场 6725 105 CT4416252016000010002 广东省河源市东源县新港镇李田村 / 无 历史遗留矿山 106 CT4416252016000010001 广东省河源市东源县新港镇李田村 / 无 历史遗留矿山 107 CT4416252006330002001 广东省河源市东源县义合镇义合村 / 无 历史遗留矿山 108 CT4416252006330028010 广东省河源市东源县义合镇超阳村 / 无 历史遗留矿山 109 CT4416252006330020001 广东省河源市东源县义合镇超阳村 / 无 历史遗留矿山 110 CT4416252006330002003 广东省河源市东源县义合镇超阳村 / 无 历史遗留矿山 111 CT4416252006330023001 广东省河源市东源县义合镇中洞村 / 无 历史遗留矿山 112 CT4416252006330023002 广东省河源市东源县义合镇中洞村 / 无 历史遗留矿山 113 CT4416252006330026001 广东省河源市东源县义合镇超阳村 / 无 历史遗留矿山 第 6 页 共 7 页 历史遗留矿山 历史遗留矿山 历史遗留矿山 历史遗留矿山 图斑小类 无法确认治理恢复责任主体的无主 废弃矿山 无法确认治理恢复责任主体的无主 废弃矿山 无法确认治理恢复责任主体的无主 废弃矿山 无法确认治理恢复责任主体的无主 废弃矿山 无法确认治理恢复责任主体的无主 废弃矿山 无法确认治理恢复责任主体的无主 废弃矿山 无法确认治理恢复责任主体的无主 废弃矿山 无法确认治理恢复责任主体的无主 废弃矿山 无法确认治理恢复责任主体的无主 废弃矿山 无法确认治理恢复责任主体的无主 废弃矿山 无法确认治理恢复责任主体的无主 废弃矿山 无法确认治理恢复责任主体的无主 废弃矿山 无法确认治理恢复责任主体的无主 废弃矿山 无法确认治理恢复责任主体的无主 废弃矿山 无法确认治理恢复责任主体的无主 废弃矿山 无法确认治理恢复责任主体的无主 废弃矿山 无法确认治理恢复责任主体的无主 废弃矿山 无法确认治理恢复责任主体的无主 废弃矿山 无法确认治理恢复责任主体的无主 废弃矿山 无法确认治理恢复责任主体的无主 废弃矿山 图斑面积(m2) 中心经度(°) 中心纬度(°) 18755.92 115.14919 23.928885 46592.75 115.156876 23.940681 15294.49 115.1397 23.958645 11498.79 115.15754 23.93894 10206.94 115.14892 23.930185 14148.77 115.08887 24.02856 17849.15 114.98328 24.161776 7884.16 114.98394 24.161758 1427.0 114.805214 23.94271 3793.16 114.805824 23.943228 26243.14 114.80103 23.941858 9464.63 114.733025 23.865732 14632.17 114.73308 23.866545 11341.17 114.92081 23.856312 5359.81 114.925095 23.841215 7110.86 114.9472 23.83282 10924.6 114.92262 23.847792 38916.62 114.892624 23.791328 12404.37 114.89491 23.789633 7371.37 114.91646 23.83252 序号 图斑编号 所在位置 矿山名称 采矿证号 图斑大类 114 CT4416252016100017002 广东省河源市东源县义合镇下屯村 / 无 历史遗留矿山 115 CT4416252016100007002 广东省河源市东源县义合镇义合村 / 无 历史遗留矿山 116 CT4416252006330035001 广东省河源市东源县义合镇南浩村 / 无 历史遗留矿山 117 CT4416252006330023003 广东省河源市东源县义合镇中洞村 / 无 历史遗留矿山 118 CT4416252006330023004 广东省河源市东源县义合镇中洞村 / 无 历史遗留矿山 第 7 页 共 7 页 图斑小类 无法确认治理恢复责任主体的无主 废弃矿山 无法确认治理恢复责任主体的无主 废弃矿山 无法确认治理恢复责任主体的无主 废弃矿山 无法确认治理恢复责任主体的无主 废弃矿山 无法确认治理恢复责任主体的无主 废弃矿山 图斑面积(m2) 中心经度(°) 中心纬度(°) 4125.4 114.86828 23.91787 21340.91 114.91686 23.85528 352840.16 114.8529 23.796713 19104.65 114.901405 23.786177 46569.17 114.904 23.785769

相关文章